ICQM faculty member Fa Wang publishes an article in Nature Physics reporting
"Nematicity and Quantum Paramagnetism in FeSe"
Time:2015-11-12ClickTimes:
Most parent compounds of iron-based high temperature superconductors display
a finite temperature “nematic” phase transition with spontaneous breaking of the
4-fold crystal rotation symmetry. This transition is usually accompanied by a
stripe antiferromagnetic ordering transition at the same or slightly lower
temperature. For this reason the driving force of nematicity in these iron-based
materials is usually regarded as the antiferromagnetic correlation.
FeSe however shows very different phenomenology. It has a nematic phase
transition at 90Kelvin but no magnetic order down to the lowest temperature. And
recent nuclear magnetic resonance studies do not see enhancement of low energy
spin fluctuation across the nematic transition in FeSe. People thus speculate
that the nematic transition in FeSe is not driven by magnetic correlation but
possibly orbital order.
Prof. Fa Wang of ICQM at Peking University, in collaboration with Prof.
Kivelson of Stanford University and Prof. Dung-Hai Lee of UC Berkeley,
challenged this perception of non-magnetic mechanism for nematicity in FeSe.
They established by theoretical arguments and numerical results that a “nematic
quantum paramagnet” phase can exist for frustrated spin-1 models on square
lattice. This phase spontaneously breaks 4-fold crystal rotation symmetry but
has no magnetic order and no low-energy spin excitations. They argued that the
nematic quantum paramagnet phase can explain the unusual phase diagram of FeSe,
and predicted the existence of finite energy spin fluctuations at both stripe
and Neel ordering wavevectors. This work has been published in Nature Physics
[Nature Physics 11, 959 (2015)].

| 
|
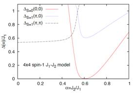
Left: Schematic depiction of two prototypical
wavefunctions of nematic quantum paramagnet states. The spin-1 moments
on solid blue lines form AKLT chains. Right: Spin excitation gap(S=1)
and spin-singlet excitation gap(S=0) for 4x4 square lattice J1-J2
Heisenberg model. Around J2/J1=0.6 the spin gap is large but the
spin-singlet gap is very small, suggesting nematic quantum paramagnet
ground states in the thermodynamic limit.
|
The work done in PKU was supported by the National Science Foundation of
China(Grant No. 11374018) and National Key Basic Research Program of China
(Grant No. 2014CB920902), and the “Thousand Talents Program for Distinguished
Young Scholars”.