
Multi-charge superconductivity in kagome superconductor ring devices.
Superconductivity, characterized by the quantization of magnetic flux in units of the charge-2e Cooper pair flux quantum (h/2e), is an extremely important macroscopic phase coherent quantum matter state. Since its discovery in 1911, superconductivity has attracted tremendous attention in the field of scientific research and industry. To date, all forms of superconductivity, conventional mediated by phonons (BCS superconductors) or unconventional mediated by electronic fluctuations (such as copper-based, iron-based high-temperature superconductors, etc.), topologically trivial or nontrivial, originate from and are characterized by the condensation of charge-2e Cooper pairs, as described by the BCS theory. Searching for possible superconductivity due to the condensation of bound states of four electrons or six electrons, i.e. electron quartets or sextets, is not only of the utmost importance for understanding the superconductivity phenomenon beyond the charge-2e BCS theory, but also hold the promise of providing new perspectives for multi-fermion states such as the α-particle condensate formed by two protons and two neutrons in nuclear physics, and multi-quark states in high-energy physics. However, despite significant theoretical efforts in the past, the multi-charge superconducting states haven’t been discovered experimentally.
Recently, Prof. Jian Wang’s group at Peking University, in collaboration with Prof. Ziqiang Wang at Boston College, Prof. Hechang Lei at Renmin University of China, and Prof. Jie Shen at Institute of Physics, Chinese Academy of Sciences, discovered the charge-4e and charge-6e superconducting states in kagome superconductor CsV3Sb5 ring devices. This is the first experimental observation of multi-charge superconducting state, paving the way for exploring and understanding the superconductivity phenomena beyond the condensation of two-electron Cooper pairs and other novel multiple–fermion states.
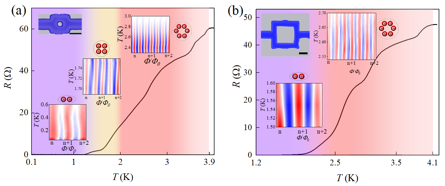
Magnetic flux quantization is a powerful tool for revealing two-electron pairing in superconductors. For example, in 1962, Little and Parks observed periodic magnetoresistance oscillations in thin-walled cylinders of tin (Sn) superconductors. These oscillations, with periods corresponding to the flux quantum h/2e, were considered crucial evidence for the existence of two-electron Cooper pairs. Superconducting interference devices, such as superconducting ring devices and superconducting quantum interference devices (SQUIDs), are commonly used to investigate quantized magnetic flux. Jian Wang’s group fabricated CsV3Sb5 thin flake devices with the thickness of approximately 15-30 nanometers. They covered protection layer on the CsV3Sb5 flake devices and subsequently etched CsV3Sb5 ring devices (Fig.1). Figure 2a illustrates the resistance-temperature curve of a typical small-sized (inner area approximately 0.027 μm2) CsV3Sb5 ring device at low temperatures (4 K to 0.07 K), showing a superconducting transition to the zero-resistance state at 1.1 K and a superconducting onset temperature of 3.9 K (Fig. 2a). They then carried out systematic magnetotransport measurements on the CsV3Sb5 ring devices. When the applied perpendicular magnetic field drove the sample into a sufficiently resistive state, noticeable periodic resistance oscillations were observed below the zero-resistance transition temperature (Fig. 2b). The period of the oscillations corresponds to the h/2e flux quantum of Cooper pairs, indicating that the superconducting state of the CsV3Sb5 ring device is a two-electron Cooper pair condensate below the zero-resistance superconducting critical temperature. The h/2e oscillations were suppressed above 1.0 K. Upon increasing the temperature to 1.65 K and above, new oscillations with a period approximately equal to half of the period of the h/2e oscillations at low temperatures were observed (Fig. 2c), corresponding to a flux quantum of h/4e. The h/4e oscillations disappear at 1.8 K. As the temperature is further increased to 2.3 K, brand new periodic oscillations were observed, with the period equal to one-third of the period of the h/2e oscillations at low temperatures, corresponding to a flux quantum of h/6e (Figs. 2d-g). Similar results were observed in other ring devices of similar sizes. The discovery of h/4e and h/6e flux quanta indicates the existence of four-electron and six-electron superconducting states in CsV3Sb5 ring devices in the broad superconducting transition region (Fig. 2a).

Figure 1 (a) Schematic crystal structure of CsV3Sb5 with purple, orange, and yellow spheres denoting Cs, V, and Sb atoms, respectively. (b) Schematic drawing of the ring-structure device in the standard four-terminal configuration. The dimensions are not drawn to scale.

Figure 2 (a) Resistance as a function of temperature from 4 K to 0.07 K of a typical small-sized (inner area of ~0.027 μm2) CsV3Sb5 ring device s1. Superconductivity with onset temperature ∼ 3.9 K and zero-resistance temperature ∼1.1 K is observed. Inset shows the false-colored image of the CsV3Sb5 ring device s1. The sample protected by PMMA layer is represented by blue and the substrate is represented by gray. The scale bar in the false-colored image represents 500 nm. The effective area of the h/2e, h/4e and h/6e oscillations is marked by the red rectangle in the inset of the false-colored image. (b) h/2e oscillations in which the rising backgrounds have been subtracted as a function of the perpendicular magnetic field. The black dashed lines and the blue solid lines label the dips and peaks of the oscillations, respectively. For clarity, data curves are shifted. (c) h/4e oscillations at higher temperatures after subtracting smooth backgrounds. The dashed lines label the oscillation dips. For clarity, data curves are shifted. (d) h/6e oscillations at still higher temperatures after subtracting smooth backgrounds. For clarity, data curves are shifted. The black dashed and solid lines label the dips and peaks of the oscillations, respectively. (e) The raw data showing the h/6e oscillations in the low field region. (f), (g) h/6e oscillations in the high field region. (h) n-Hn index plots of the h/2e, h/4e and h/6e oscillations. Here, n is an integer or half integer. Integer n represents the oscillation dip and half integer n represents the oscillation peak. The linear relation between n and Hn can be clearly observed, indicating that the h/2e, h/4e and h/6e oscillations are periodic. (i) FFT results as a function of inverse magnetic flux in unit of 2e/h at various temperatures. With increasing temperature, the changes in periodicity from h/2e to h/4e and then to h/6e can be clearly observed.
To further scrutinize the evidence for the extraordinary multi-charge flux quantization, researchers fabricated CsV3Sb5 ring devices with different sizes. In the micron-sized ring device (with an inner area of approximately 0.96 μm2), researchers observed h/2e oscillations at low temperatures, corresponding to the h/2e flux quantum (Figs. 3b-d). When the temperature was raised to above 2.5 K, a new type of oscillation emerged with a period equal to one-third of that of the h/2e oscillations at low temperatures, corresponding to a flux quantum of h/6e (Figs. 3e-g). Similar results were repeatedly observed in two other micron-sized ring devices, confirming the reliability and robustness of the results. Note that in smaller-sized ring devices, with increasing temperatures, two successive transitions from h/2e to h/4e and then to h/6e flux quantization were observed, while h/4e oscillations were not observed in micron sized devices and the flux quantum transitioned from h/2e to h/6e with increasing temperatures (Fig. 4).

Figure 3 (a) Resistance as a function of temperature from 5 K to 0.5 K in the micron-sized (inner area of ~0.96μm2) CsV3Sb5 ring device s2. Superconductivity with onset temperature ∼ 4.1 K and zero-resistance temperature ∼1.4 K is observed. Inset shows the false-colored image of the CsV3Sb5 ring device s2. The sample protected by PMMA layer is represented by blue and the substrate is represented by gray. The scale bar in the false-colored image represents 500 nm. (b) h/2e oscillations after subtracting smooth backgrounds. The dashed lines label the oscillation dips. For clarity, data curves are shifted. The effective area of the h/2e oscillations is marked by the red rectangle in the inset of (a). (c) n-Hn index plot of the h/2e oscillations. Here, n is an integer, representing the oscillation dip. A linear relation between n and Hn can be clearly observed, indicating that the magnetoresistance oscillations are periodic. (d) FFT results of the h/2e oscillations. (e) h/6e oscillations after subtracting smooth backgrounds. The dashed and solid lines label the oscillation dips and peaks, respectively. For clarity, data curves are shifted. If the h/6e oscillations were considered as h/2e oscillations, the effective area (shown by the green rectangle in the inset of (a)) would be obviously much larger than the outer area of the ring device (~2.97 μm2), which is physically impossible. (f) n-Hn index plot of the h/6e oscillations. Here, n is an integer or half integer, representing the oscillation dip and peak, respectively. The linear relation between n and Hn confirms that the magnetoresistance oscillations are periodic. (g) FFT results of the h/6e oscillations.

Figure 4 R-T phase diagram of the h/2e, h/4e and h/6e flux quantization in CsV3Sb5 ring device s1 (inner area ~0.027μm2) (a), and h/2e and h/6e flux quantization in CsV3Sb5 ring device s2 (inner area ~0.96 μm2) (b). With increasing temperature, the periodicity changes from h/2e to h/4e and then to h/6e in smaller ring device s1. In the large ring structure s2, the periodicity changes from h/2e to h/6e.
To further confirm that the observed h/4e and h/6e flux quantum in CsV3Sb5 superconducting ring devices are intrinsic, researchers fabricated conventional superconductor niobium (Nb) ring devices using the same etching technique and parameters. In the Nb ring devices, researchers only observed h/2e magnetoresistance oscillations within a very narrow temperature range (approximately 0.05 K), as shown in Fig. 5, consistent with previous studies on conventional superconductors. These results indicate that the h/4e and h/6e flux quantum in CsV3Sb5 ring devices are intrinsic, originating from the multi-charge superconducting states in CsV3Sb5.

Figure 5 (a) The resistance (R)-temperature (T) curve of a typical Nb ring device. A superconducting transition with onset temperature of ~7.6 K and zero resistance temperature of ~7.0 K is observed. Inset shows the false-colored SEM image of the Nb ring device. The sample protected by PMMA layer is represented by blue and the substrate is represented by gray. The scale bar represents 500 nm. (b) Magnetoresistance of the Nb ring device. Only h/2e oscillations in a narrow temperature regime (around 7.2 K) were observed in the Nb ring device. (c) h/2e oscillations in the Nb ring device.
The observation of the h/4e and h/6e flux quanta with increasing temperatures in CsV3Sb5 ring devices naturally suggests a sequential destruction of the charge-2e superconductivity (SC) and the emergence of phase coherent charge-4e and charge-6e bound states. These higher-charge superconducting states can emerge in principle as vestigial ordered states from a composite charge-2e superconductor. A pair density wave (PDW) superconductor is such a charge-2e state that breaks crystalline translational symmetry in addition to the global U(1) symmetry. On theoretical grounds, with increasing temperatures, the topological defects (dislocations) of positional order unbind and proliferate, which destroy the PDW order and charge-2e superconductivity. The composite uniform charge-4e and charge-6e order parameters, decoupled from the proliferating dislocations, can therefore become the primary quasi-long-range vestigial ordered states. Earlier scanning tunneling microscopy studies detected evidence for roton PDW in bulk CsV3Sb5. Therefore, the multi-charge superconducting states observed by Jian Wang’s group may originate from the "melting" of the PDW order in CsV3Sb5 as the temperature increases. For the hexagonal CsV3Sb5, the "melting" of the charge-2e PDW will give rise to the intrinsic charge-6e SC. This is consistent with the robust h/6e oscillations observed in the ring devices of various sizes. Compared to the charge-6e state, the charge-4e state has been proposed to be chiral theoretically, and couples strongly to the strain fields, supercurrent fluctuations, and disclination defects, which can limit the coherence length and hinders the ability of the charge-4e bound states to move through the ring structure phase coherently. As a result, in contrast to the robust isotropic charge-6e state, the charge-4e state is less robust, which is consistent with the researchers’ observation that the h/4e oscillations are relatively weak in small ring devices and difficult to discern in the micron-sized ring devices with much larger central hole areas.
The discovery of h/6e and h/4e flux quanta in CsV3Sb5 ring devices reveals the presence of phase-coherent six-electron (or three Cooper pairs) and four-electron (or two Cooper pairs) bound states in the sample. This is the first experimental evidence of multi-charge superconducting states. As a novel state of matter beyond the conventional two-electron Cooper pair condensate, the discovery of six (four)-electron superconducting states provides valuable insights for understanding the kagome superconductors and lays the groundwork for exploring the physical properties of unprecedented phases of matter formed by multi-particle bound states and fractionalized flux quanta.
The paper was published in Physical Review X (Phys. Rev. X 14, 021025 (2024), link to the paper:https://journals.aps.org/prx/abstract/10.1103/PhysRevX.14.021025) and highlighted by the editor as Featured in Physics, with an accompanying VIEWPOINT article entitled “Cooper Pairs Pair Up in a Kagome Metal” (link to the accompanying paper: https://physics.aps.org/articles/v17/80). Prof. Chandra M. Varma, a recipient of the John Bardeen Prize, highlighted this work in the Journal Club for Condensed Matter Physics. Link: DOI: 10.36471/JCCM_March_2022_03. Prof. Jian Wang at Peking University is the corresponding author. Dr. Jun Ge and Pinyuan Wang at Peking University contributed equally to this work. Other collaborators include Prof. Ziqiang Wang at Boston College, Prof. Hechang Lei at Renmin University of China, Prof. Jie Shen at Institute of Physics, Chinese Academy of Sciences and Prof. Ying Xing at China University of Petroleum. This work is supported by the National Natural Science Foundation of China, the National Key Research and Development Program of China, Collaborative Innovation Center of Quantum Matter, the Beijing Natural Science Foundation, the China Postdoctoral Science Foundation. Prof. Ziqiang Wang is supported by the U.S. Department of Energy, Basic Energy Sciences.