Recently, Prof. X. C. Xie from Peking University and his collaborators propose a microscopic mechanism of half-quantized Hall conductance using a semi-magnetic topological insulators model. This work has been recently published online in Physical Review Letters.
Macroscopic quantum phenomena, such as the fractional quantum Hall effect and integer quantum Hall effect, are the global quantum phenomena presented at the macroscopic scale. In the fractional quantum Hall effect, the quasiparticle excitations have fractional charges, while the quantized phenomenon of the non-interacting system such as integer quantum Hall effect is generally described by an integer quantum number. Nevertheless, two-dimensional Dirac fermions are relativistic particles which can lead to the half-integer quantized Hall conductance due to the so-called parity anomaly. So far, many theoretical and experimental efforts have been exerted to observe the HQHC, but the direct observation of the HQHC remains challenging, because Dirac cones always appear in pairs and the parity anomalies of Dirac cones cancel out in pair.
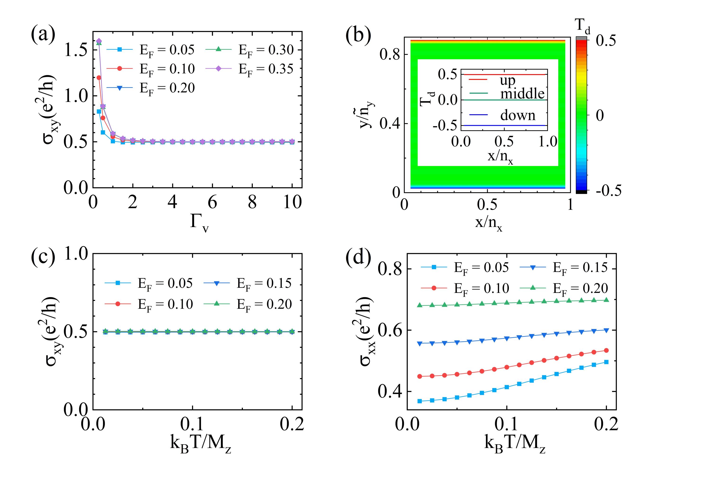
They systematically study the surface transport of the semimagnetic topological insulator in the presence of the dephasing process. In particular, they reveal that the HQHC is directly related to the half-quantized chiral current along the edge of a strongly dephasing metal. The Hall conductance keeps a half-quantized value for large dephasing strengths, while the longitudinal conductance varies with Fermi energies and dephasing strengths. These results are in stark contrast to the common belief that quantized Hall conductance is generally observed in an insulating phase such as the quantum Hall effect, and thus goes beyond the conventional paradigm of quantized transport. Furthermore, they evaluate both the conductance and resistance as a function of the temperature, which is consistent with the experimental results[Nature Physics, 2022, 18(4): 390-394.].
Humian Zhou (a Ph. D. candidate in Prof. X. C. Xie’s group) is the first author, and Chui-Zhen Chen (Soochow University) and Prof. X. C. Xie are the corresponding authors of this Letter. Other collaborators include Hailong Li (Peking University), Qing-Feng Sun (Peking University), Dong-Hui Xu (Chongqing University). This work is financially supported by the National Key R and D Program of China, the National Basic Research Program of China, the National Natural Science Foundation of China, the Fundamental Research Funds for the Central Universities, the Strategic Priority Research Program of Chinese Academy of Sciences, Beijing Municipal Science & Technology Commission, and the Priority Academic Program Development of Jiangsu Higher Education Institutions.

Figure: (a) Hall conductance against dephasing strength for different Fermi energy. (b) The space distribution of Td, and Td describes the half-quantized chiral channel. (c) and (d) Hall and longitudinal conductance against temperature for different Fermi energy.
Website link:https://journals.aps.org/prl/pdf/10.1103/PhysRevLett.129.096601