Quantum transport and modulation in topological insulator/normal insulator
superlattices
Time:2014-08-19ClickTimes:
Topological insulators, as new quantum materials, have attracted great
attention in condensed matter physics due to their exotic surface property.
Recently, theoretical studies have demonstrated that the topological protected
surface states are 2D version of Weyl electron. As for 3D, Weyl semimetal
possessing “3D surface states” can be achieved in superlattices (SLs) where
topological insulators (TIs) are interlaced with normal insulators (NIs). The
TI/NI SLs with multiple Dirac channels are predicted to offer great opportunity
to design novel materials and investigate new quantum phenomena. More
importantly, TI/NI SLs can make the modulation of properties of topological
materials become possible.
Prof. Jian Wang at Peking University (PKU), in collaboration with Prof. Xin-Cheng
Xie at PKU (theory), Prof. Maohai Xie at HKU (MBE sample growth) and Prof. Yong
Wang at ZJU (TEM measurements), firstly and systematically studied the transport
property of the artificial TI/NI SL systems. They investigated the quantum
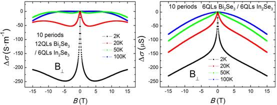
transport of SL heterostructure consisted of different thickness of TI
layers,and found that tuning the thickness of TI Bi2Se3 layers may completely
change the transport dimensionality from 3D to 2D in Bi2Se3/In2Se3 SLs. The
discovery demonstrated the feasibility of modulation of topological material
property by using TI/NI SLs. This work may stimulate the research on exploring
exotic quantum state and potential magneto-conductance, thermoelectric and
spintronics applications in TI/NI SLs. The results were published online in Nano
Letters (DOI: 10.1021/nl502220p, 2014) with a title of “Crossover from 3D to 2D
Quantum Transport in Bi2Se3/In2Se3 Superlattices”. Jian Wang, Xin-Cheng Xie and
Mao-Hai Xie are corresponding authors of this paper. Yanfei Zhao and Haiwen Liu
contributed equally to this work.
Jian Wang’s group at ICQM, School of Physics, PKU has focused on topological
insulators for several years and made a series of achievements in this field
with collaborators. Such as electron-electron quantum correction in topological
insulators (Physical Review B 83, 245438 (2011)); superconductor-topological
insulator interaction (Physical Review B 85, 045415 (2012)); negative
magnetoresistance in parallel magnetic field in topological insulator films (Nano
Research 5, 739 (2012)); p type and n type topological insulators grown on GaAs
substrates (AIP Advances 3, 072112 (2013)); topological insulator
heterostructures (Scientific Reports 3, 3060 (2013)); crossover between weak
antilocalization and weak localization of bulk states in ultrathin topological
insulator films (Scientific Reports 4, 5817 (2014)), and so on.
The work was supported by National Basic Research Programs of China, National
Natural Science Foundation of China, 1000 Talents Program for Young Scientists
of China, the Research Fund for the Doctoral Program of Higher Education (RFDP)
of China, and Collaborative Innovation Center of Quantum Matter, China.

|
Figure 1. Transmission electron microscopy (TEM) and EDX map of
(Bi2Se3)6/(In2Se3)6 SL structure and the schematic structure for the
transport measurements of the TI / NI SLs.
|

|
Figure 2. Transport properties of (Bi2Se3)12/(In2Se3)6 SLs and
(Bi2Se3)6/(In2Se3)6 SLs.
|